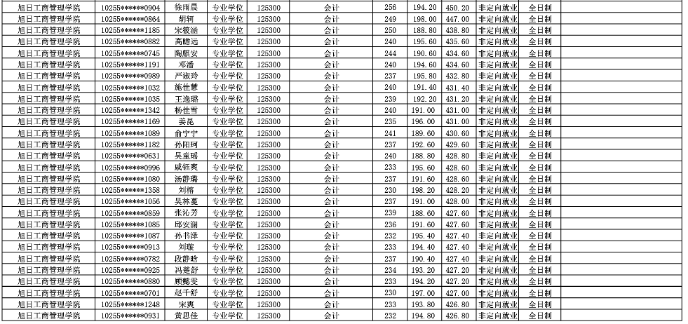
2020MPAcc擬錄取名單:東華大學2020年碩士研究生招生考試成績及擬錄取名單
來源:東華大學 人瀏覽 時間:2020-06-28 17:05:42
會計擇校藍皮書之34所自主劃線院校
會計擇校藍皮書之華東地區
會計擇校藍皮書之華北地區
會計擇校藍皮書之東北地區
會計擇校藍皮書之“五財一貿”
會計擇校藍皮書之華南地區
會計擇校藍皮書之西北地區
會計擇校藍皮書之北京院校
2026管理類聯考備考大禮包限時領取中...
即日起,點擊預約可免費領取限量備考資料大禮包!
近日,全國各大研究生院校已公布2020研究生擬錄取名單。2020年研究生擬錄取名單不僅對于2020考研的同學很重要,對于2021考研的同學也很重要。2021考研的小伙伴可以通過2020年擬錄取名單分析今年的考情,從而做出最適合自己的考研決策。今天小編就整理了“2020MPAcc擬錄取名單:東華大學2020年碩士研究生招生考試成績及擬錄取名單”的相關內容,希望能對大家有所幫助。





原文標題:東華大學公示2020級碩士(全日制)研究生研究生擬錄取名單公示
原文鏈接:http://yjszs.dhu.edu.cn/ae/af/c7128a241327/page.htm
以上就是“2020MPAcc擬錄取名單:東華大學2020年碩士研究生招生考試成績及擬錄取名單”的全部內容,更多錄取名單相關內容,盡在“錄取名單”欄目!
責任編輯:劉艷欣

分享:
MPAcc擇校評估
說明:您只需填寫姓名和電話即可免費預約!我們的工作人員會在最短時間內給予您回復。小編推薦

在線題庫
院校招生簡章
- 12025MPAcc專業目錄:青島農業大學2025年MPAcc碩士研究生招生專業目錄
- 22025MPAcc專業目錄:山東農業大學2025年MPAcc碩士研究生招生專業目錄
- 32025MPAcc招生簡章:山東工商學院2025年碩士研究生招生章程
- 42025MPAcc招生簡章:青島大學2025年碩士研究生招生章程
- 52025MPAcc招生簡章:山東財經大學2025年碩士研究生招生章程
- 62025MPAcc招生簡章:臨沂大學商學院2025級碩士研究生招生簡章
- 72025MPAcc招生簡章:聊城大學2025年會計碩士(MPAcc)招生簡章
- 82025MPAcc招生簡章:山東師范大學2025年碩士研究生招生章程