2021MPAcc數學備考:實數知識要點
來源:社科賽斯MPAcc備考網 人瀏覽 時間:2020-07-01 09:19:51
會計擇校藍皮書之34所自主劃線院校
會計擇校藍皮書之華東地區
會計擇校藍皮書之華北地區
會計擇校藍皮書之東北地區
會計擇校藍皮書之“五財一貿”
會計擇校藍皮書之華南地區
會計擇校藍皮書之西北地區
會計擇校藍皮書之北京院校
2026管理類聯考備考大禮包限時領取中...
即日起,點擊預約可免費領取限量備考資料大禮包!
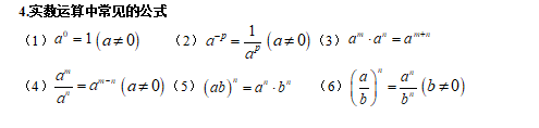
2020年已經過半,想要考研的你是否已經開始了呢?數學作為管綜中分值最高的部分,其難度也相對較大,初試想要奪得高分,必須對數學予以重視。社科賽斯MPAcc網小編貼心的為你們整理了“2021MPAcc數學備考:實數知識要點”的內容,希望能夠幫助你們攻克數學難關!






以上就是社科賽斯MPAcc網小編整理的“2021MPAcc數學備考:實數知識要點”的全部內容,更多備考干貨請持續關注社科賽斯MPAcc備考網!







以上就是社科賽斯MPAcc網小編整理的“2021MPAcc數學備考:實數知識要點”的全部內容,更多備考干貨請持續關注社科賽斯MPAcc備考網!
責任編輯:凌鏡雯

分享:
MPAcc擇校評估
說明:您只需填寫姓名和電話即可免費預約!我們的工作人員會在最短時間內給予您回復。小編推薦

在線題庫
院校招生簡章
- 12025MPAcc專業目錄:青島農業大學2025年MPAcc碩士研究生招生專業目錄
- 22025MPAcc專業目錄:山東農業大學2025年MPAcc碩士研究生招生專業目錄
- 32025MPAcc招生簡章:山東工商學院2025年碩士研究生招生章程
- 42025MPAcc招生簡章:青島大學2025年碩士研究生招生章程
- 52025MPAcc招生簡章:山東財經大學2025年碩士研究生招生章程
- 62025MPAcc招生簡章:臨沂大學商學院2025級碩士研究生招生簡章
- 72025MPAcc招生簡章:聊城大學2025年會計碩士(MPAcc)招生簡章
- 82025MPAcc招生簡章:山東師范大學2025年碩士研究生招生章程